标题: 【运动是“抗新冠”良药】20万“小阳人”数据:运动达不到这个量,新冠危重症几... [打印本页]
作者: 汇泉湾泳客 时间: 2022-12-26 04:56
标题: 【运动是“抗新冠”良药】20万“小阳人”数据:运动达不到这个量,新冠危重症几...
@香官愚叟 @山苗 @DLW @尘埃落定 @蓝色海湾 @崔大嘴 @山水游@牛弟的阿哥 @wan老兵新传 @小鱼儿外婆 @沈阳天路 @岸上人 @威海杆哥 @今来 @铁锚 @大道致简 @冬晨泳@洪499683166 @Q八大关
2022-12-24
我国新冠放开之后,一波疫情海啸呼啸而来,北方率先遭到重击,南方也逐渐踏入感染高峰。据预测,今冬新冠疫情感染率在10%-30%左右,病死率估计在0.09%-0.16%之间。而这一波疫情之下,全国各地即将面对的一个很严峻的考验——危重症的救治。
个人层面来说,生命在于运动,此话在“预防新冠危重症”面前依然有效。
早在去年4月,BMJ子刊《British Journal of Sports Medicine》上便刊登了一项涵盖了48,440名新冠感染者的回顾性队列研究,发现:与经常运动的“小阳人”相比,不爱运动的参与者在感染新冠后住院的可能性翻倍,进ICU(重症监护病房)的可能性增加1.73倍,死亡率几乎升高2.49倍!
作者: 汇泉湾泳客 时间: 2022-12-26 04:56
事实上,早在疫情爆发之初,就有大量研究学者强调了运动抗新冠的重要性(只是大家没听罢了)。
此前,著名健康专栏作家Jane Brody曾在纽约时报上发文总结了“如何减少炎性反应以及增强对新冠病毒的抵抗力”,其中重点强调:运动会对人的免疫系统产生重大影响,并决定了感染后病情走向好转,还是加重甚至死亡的结局。定期运动能有效抑制异常炎症,保持免疫平衡,提高免疫系统功能,因此“无论本身健康状况如何,运动都能提高免疫力”!
对于“逐梦决赛圈”的小阴人来说,如果担心去外面运动会被感染,在家里进行一些HIIT燃脂、跳绳跳操、瑜伽普拉提或者来回走个10,000步等,都是对自己负责的行为!而对于“杨过”“杨康”们,想必经历了新冠病毒的“捶打”,能更好地意识到锻炼的重要性,在完全康复后也要加入锻炼队伍哟!
作者: 汇泉湾泳客 时间: 2022-12-26 04:56
简单来说,保持运动的习惯,能有效防止感染新冠后发展为危重症的情况。该研究的领衔专家Robert Sallis博士推荐,以适度的速度步行30分钟,每周5天,或能有效预防新冠病毒。
无独有偶。12月15日,《American Journal of Preventive Medicine》上的最新队列研究则更为详细地探究了缺乏锻炼与新冠肺炎结果之间的关联。该研究中覆盖的阳性患者更多,体育活动水平的分类更为细致,并以剂量/反应的方式来评估两者之间关系,得到结果也更具有说服力。
结果显示:运动真是预防新冠危重症的“yyds(永远的神)”!平时运动得越多,在确诊新冠后的90天内住院或死亡风险越低。
作者: 汇泉湾泳客 时间: 2022-12-26 04:56
研究者从Kaiser Permanente Southern California(KPSC)综合卫生系统中收集到194,191名新冠肺炎感染者,并按照严重程度分为:
①需要入院治疗(确诊后的21天内);
②住院期间病情恶化(需要重症呼吸护理、重症监护以及ICU);
③死亡(确诊后90天内)。
接着,使用运动生命体征(EVS)评估了参与者“阳”前2年内的体育活动情况,将其分为5大类:
始终不活跃:每周运动≤10min,占全部参与者的15.0%;
大多数情况不活跃:中位运动时间在0-60min/周,占43.0%;
一般活跃:中位运动时间在60-150min/周,占21.9%;
较为活跃:中位运动时间>150min/周,偶尔一周达不到该水平(达到国家推荐水平),占14.3%;
始终活跃:每周运动时间均>150min,占5.8%。
相比之下,缺乏锻炼(始终不活跃/大多数情况不活跃)的“小阳人”往往是心血管疾病、高血压或肥胖(BMI≥30kg/m2)患者。
在整个研究期间,有12,530名感染者需要入院治疗(6.3%),5,943名发展为危重并送进ICU(3.1%),5,427名在确诊后的90天内死亡(2.8%)。
研究结果并不令人意外:在较低体育活动的感染者中,出现新冠肺炎不良结局的概率更高;在全部患者中,始终不活跃的患者需要入院治疗、ICU救治以及因感染死亡率最高,始终活跃组自然最低。
作者: 汇泉湾泳客 时间: 2022-12-26 04:56
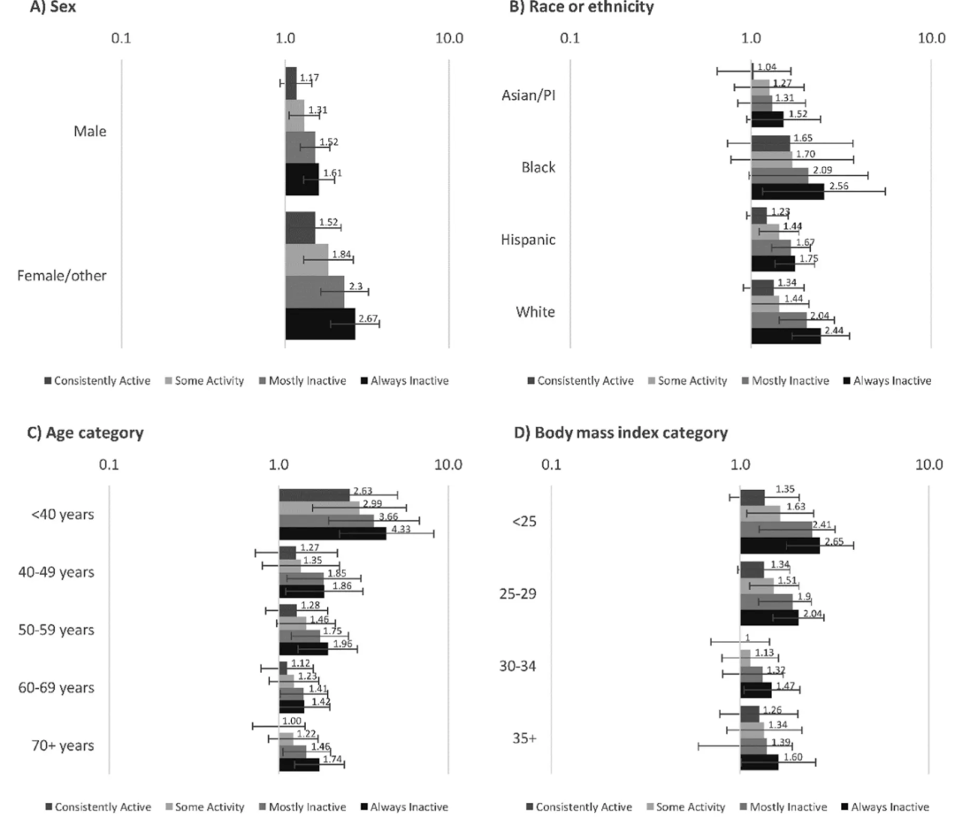
体育活动类别与住院、死亡之间关联的OR
具体数据显示,与日常坚持运动(始终活跃)的患者相比,即使每周运动时间在60-150min的组别(一般活跃),因感染新冠而入院、发展为危重症以及死亡的几率分别比前组显著高出43%、83%和92%。
与几乎不运动的感染者相比,爱运动的优势就更明显了!运动最少的组出现住院、进ICU和死亡的几率,分别是运动最多组的1.91、2.39和3.91倍!而这种运动带来的“抗新冠重症力”,在女性中更为明显。
按照性别、人种、年龄、BMI分类下,不同体育活动类别与住院情况的关系
因此,即使是面对新冠病毒的侵略,运动依然是“良药”。(大家可以观察一下,身边那些不爱锻炼的人,是不是🐑了之后症状更严重......)
果然,锻炼或健身是抗击新冠感染后发展为危重症甚至死亡的重要保护因素,而本研究为此提供了确凿的证据。本研究的第一作者Deborah Rohm Young博士强调,锻炼是极为重要的!当然,无论种族、民族、年龄、性别或慢性病感染情况如何,锻炼都是“多多益善”的,随着日常运动水平的增加,感染新冠后的症状或会越温和。
作者: 泽雅 时间: 2022-12-26 08:16
人体运动就是激活细胞生长,提高人体的免疫力,有效的阻止外来病菌侵入,达到人体运动的目的。
作者: 威海杆哥 时间: 2022-12-26 09:31
运动增强身体的抗击新冠病毒的能力,这是毋庸置疑的。
作者: 868584 时间: 2022-12-26 14:58
还是运动好处多!
作者: 汇泉湾泳客 时间: 2022-12-26 15:13
谢谢老朋友泽雅长老第一时间关注,点评

作者: 汇泉湾泳客 时间: 2022-12-26 15:13
谢谢老朋友杆哥关注,点评
作者: 汇泉湾泳客 时间: 2022-12-26 15:13
谢谢老朋友868584关注,点评
作者: 岸上人 时间: 2022-12-26 15:38
运动都能提高免疫力
作者: 威海杆哥 时间: 2022-12-26 15:56
不客气
作者: 刘建华 时间: 2022-12-26 19:13
适度运动
提高免疫
作者: 汇泉湾泳客 时间: 2022-12-27 04:17


作者: 汇泉湾泳客 时间: 2022-12-27 04:17
谢谢老朋友岸上人关注、点评
作者: 汇泉湾泳客 时间: 2022-12-27 04:18
谢谢老朋友刘建华版主关注、点评
作者: 威海杆哥 时间: 2022-12-27 15:58
多谢邹哥加分给力
作者: 汇泉湾泳客 时间: 2022-12-28 04:21

| 欢迎光临 (http://bbs.china-ws.org/) |
Powered by Discuz! X3.3 |